Com benefícios como vale-alimentação, auxílio-moradia, auxílio-livro, auxílio-funeral, pagamento de diárias e remunerações retroativas, quase 80% dos membros do Ministério Público do Estado de São Paulo recebem acima do teto-constitucional, de R$ 33.736.
Segundo a Agência Pública, o governo estadual encaminhou proposta de orçamento do MP com previsão de R$ 2,3 bilhões para 2017, um valor duas vezes maior do que devem receber a secretarias de Agricultura, Meio Ambiente ou Habitação.
A Lei Orgânica do Ministério Público de São Paulo prevê 16 auxílios extras para os membros do Ministério Público estadual, o que explica vencimentos que chegam a quase R$ 130 mil por mês.
Leia mais abaixo:
Da Agência Pública
Quase 80% dos membros do MPSP recebem acima do teto constitucional: vale-livro, auxílio-moradia e supersalários somam até R$ 130 mil por mês
por Daniel Mello, Eliane Gonçalves
Em setembro, o governo de São Paulo encaminhou para a Assembleia Legislativa do Estado a proposta de orçamento do Ministério Público (MP) para 2017. A previsão é destinar R$ 2,3 bilhões para manter funcionando a estrutura criada para defender os direitos dos cidadãos paulistas. Um orçamento três vezes maior do que o previsto para a Secretaria de Cultura e o dobro do que será destinado para pastas como Agricultura, Meio Ambiente ou Habitação. É com esse dinheiro que o MP vai cobrir gastos com água, luz, telefone, salários – e os polpudos benefícios destinados a procuradores e promotores.
A remuneração inicial de um promotor público em São Paulo é de R$ 24.818,71. Na última etapa da carreira, o procurador de justiça, o salário chega a R$ 30.471,11. São valores que seguem o teto constitucional: promotores e procuradores paulistas recebem, no máximo, 90,25% do salário de um ministro do Supremo Tribunal Federal.
Mas os vencimentos não terminam por aí. Somam-se benefícios como vale-alimentação, auxílio-moradia, auxílio-livro, auxílio-funeral, pagamento de diárias, remunerações retroativas, duas férias anuais. A Lei Orgânica do Ministério Público de São Paulo, de 1993, prevê 16 auxílios extras que, apesar de serem considerados legais, ajudam a ultrapassar, em muito, o teto constitucional.
Na prática, dos 2015 membros do MPSP que receberam salário em outubro, 1243 receberam a partir de R$ 38,900, ou seja, 61,7% do total. É um valor acima dos R$ 33.763 pagos aos ministros do STF, mais os extras. Se prosperar o entendimento de que “teto é teto” e os “extras” não deveriam estar nem na conta dos ministros do Supremo, a proporção de promotores e procuradores que receberam acima do teto constitucional sobe para 79,8%. Foram 1.608 promotores e procuradores que receberam mais do que o salário teto de R$ 33.736.
Estímulo à leitura
A Comissão foi instalada, em novembro, no Congresso Nacional, para propor um fim aos “supersalários” de funcionários públicos.
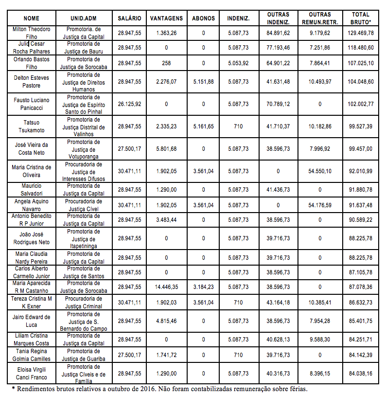
A folha de pagamento do MPSP de outubro é repleta de exemplos de “supersalários”. Naquele mês o promotor de justiça de entrância final Milton Theodoro Filho, lotado na capital, recebeu o maior valor da folha: R$ 129.469,78. Foram R$ 28.947,55 de salário bruto (sem descontar a contribuição previdenciária e o imposto de renda) e R$ 89.979,35 de indenizações (incluídos R$ 5.087,73 auxílio-moradia e vale-alimentação). Além disso, há mais R$ 9.179,62 de valores retroativos da Parcela Autônoma de Equivalência (PAE), resultado de uma decisão de 1992 do Supremo Tribunal Federal (STF) que equipara os salários do Judiciário com os do Congresso Nacional.
No mesmo mês, o promotor Julio César Palhares, que serve em Bauru, no interior paulista, recebeu R$ 118.480,60. Desse montante, R$ 28.947,55 referem-se ao salário bruto, R$ 82.281,19 a indenizações não discriminadas, à exceção de R$ 5.087,73 de auxílio-moradia e vale-alimentação.
Orlando Bastos Filho, promotor em Sorocaba, foi o terceiro membro com maiores vencimentos no mês, recebendo R$ 107.025 brutos. Nesse valor estão incluídos R$ 64.901,22 de indenizações não discriminadas e R$ 7.864,41 retroativos da PAE. Em 2015, Bastos Filho acirrou os ânimos dos vereadores do município ao iniciar uma investigação sobre seus gastos com despesas de telefone, carro oficial e itens de escritório.
O professor de ética e filosofia política na Unicamp Roberto Romano estuda o poder Judiciário e defende o papel do MP como instituição de garantia da democracia brasileira. Mas critica: “Eu acho que o Ministério Público, justamente porque é o zelador da lei, o fiscal da aplicação da lei, deveria renunciar a esse tipo de acréscimo ao seu salário, sobretudo porque não corresponde à experiência de todos os demais funcionários do estado”.
As informações sobre os rendimentos dos membros do MP estão disponíveis no Portal da Transparência. Veja abaixo a lista dos 20 membros mais bem pagos do MP paulista em outubro:
Para Antônio Alberto Machado, promotor aposentado, as altas remunerações do MP estão diretamente associadas a práticas conservadoras: “As carreiras jurídicas, em geral, se tornaram muito atrativas de algumas décadas para cá. Há 40 anos não era assim. Isso fez com que os membros dessas carreiras tivessem um padrão remuneratório equivalente ao que a gente chama de classe A. A leitura que eu faço é que essas carreiras jurídicas estão ‘sitiadas’. Foram tomadas por essas classes média, média alta, classe alta que têm um valor de mundo conservador e que estão julgando as classes de baixo”.
Promotores e procuradores têm a prerrogativa de legislar sobre os próprios vencimentos. Alguns dos valores e critérios para o pagamento de cada um desses extras são definidos por resoluções e atos normativos que cabem ao procurador-geral de justiça do estado. Foi um ato normativo de 2003 que definiu, por exemplo, que o valor de uma diária corresponde a 1/30 do salário bruto de um promotor em início de carreira. Em 2016, corresponde a R$ 827,30. O valor extra é pago quando o promotor tem de substituir um colega de trabalho.
Um ato normativo de 2014 definiu que promotores e procuradores cedidos para outros órgãos continuam tendo direito a receber o auxílio-moradia. Trata-se de um complemento à lei orgânica que já garante que membros do MP que se afastem do cargo para ocupar cargos eletivos, por exemplo, possam continuar recebendo os vencimentos do órgão se abrirem mão do outro salário. É o que garante ao deputado Fernando Capez continuar na folha de pagamento do MP. A troca vale a pena. Enquanto um deputado estadual tem remuneração de R$ 25.322,25, os vencimentos de Capez em outubro chegaram a R$ 40.497. Como secretários do governo de São Paulo, os procuradores Mágino Barbosa e Elias Rosa receberiam R$ 19.467,94. Porém, ao manterem os salários do MP, eles receberam, em outubro, respectivamente R$ 56.911,63 e R$ 47.685,94.
Auxílio-moradia
O maior benefício é o auxílio-moradia, no valor de R$ 4.377 mensais. A ajuda financeira foi autorizada por meio de liminar do ministro do STF Luiz Fux em setembro de 2014 e se estende a membros da magistratura e dos ministérios públicos de todo o país. À diferença do que ocorre com todos os outros funcionários públicos – até mesmo dos congressistas –, o benefício se destina também para quem tem residência própria e vive na mesma cidade em que atua. Ficam de fora apenas aposentados e licenciados.
Segundo a folha de pagamento de outubro de 2016, disponível no Portal da Transparência do MPSP, dos 2.084 promotores e procuradores públicos na ativa, pelo menos 1.593 recebem o auxílio (76%). O custo anual para os cofres públicos é de aproximadamente R$ 69,7 milhões. O valor daria para atender mais de 14 mil famílias com o programa Auxílio-Aluguel da prefeitura de São Paulo, de R$ 400 mensais.
Mas a despesa não fica por aí. O adicional foi tratado como retroativo pelo ministro Luiz Fux. Assim, promotores e procuradores tiveram direito a receber os “atrasados” dos cinco anos anteriores à liminar, ou seja, desde 2009. Para a maioria da classe, isso significou uma bolada de mais de R$ 262 mil que vem sendo paga em parcelas regulares desde então.
Outro auxílio que ajuda a compor o orçamento anual dos promotores é o auxílio-livro. Uma ajuda extra de até R$ 1.700 por ano, criada em 2010 com o objetivo de garantir a atualização técnica dos promotores e procuradores.
Entre 2010 e 2013, o advogado Rodrigo Xande Nunes trabalhou como oficial de Promotoria dentro do MP, cuja tarefa era solicitar verbas indenizatórias para os promotores e procuradores que assessora. “Bastava o promotor apresentar uma nota fiscal de qualquer livraria com a descrição ‘livro’ para assegurar o reembolso. Vi livros de doutrina jurídica que iam parar nas mãos de sobrinhos do promotor que estavam cursando faculdade de direito, ou romances virarem presentes de aniversário”, lembra. (Da Agência Pública via GGN)
Discover more from Carta Campinas
Subscribe to get the latest posts sent to your email.





